Background: The introduction of novel targeted agents that inhibit specific cellular pathways has improved the prognosis of chronic lymphocytic leukemia (CLL) patients. CLL patients have a higher risk of secondary malignancies, but this risk has not yet been defined for patients treated with targeted agents, including inhibitors of BTK, PI3K or BCL2.
Methods: We conducted a retrospective cohort study of CLL patients managed at a large tertiary care center between 1994 and 2018. Patients were classified according to whether they were treated with cytotoxic chemotherapy alone, chemoimmunotherapy or if they received a targeted agent (BTK inhibitor, PI3K inhibitor, BCL2 inhibitor) during the course of their disease. Time to first secondary malignancy corresponds to time elapsed between CLL diagnosis and the earliest secondary malignancy. Cumulative incidence of secondary malignancy was estimated considering competing risk of death. Multivariable analysis of cumulative risk of secondary malignancies was performed using Gray's method. Survival analysis was done with the Kaplan Meier method, comparisons were done using log - rank.
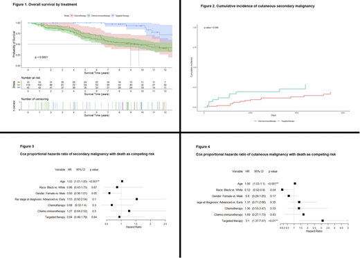
Results: 265 CLL patients received care at our institution, median age (range) at diagnosis was 62 years (28-94), 168 (63.4%) were male, 199 (82.9%) were white, and 107 (41.5%) had Rai stage 3 or 4 at diagnosis. Median follow up was 10.5 years. Treatment was prescribed for 185 (70.1%) patients, 33 (17.7%) patients received only chemotherapy, 110 (59.1%) received chemoimmunotherapy, and 43 (23.1%) received targeted agents in the course of their disease. Median time to treatment was 11 months (IQR 1 - 177). Patients who did not receive therapy had a shorter median follow up (8.5 years) compared with treated patients (11.8 years) (p = <0.01), but there were no significant differences in the follow up times of patients receiving chemotherapy vs. chemoimmunotherapy vs. targeted therapy. We did not observe differences in the median number of treatment lines among treated patients. Patients treated with targeted agents had better overall survival (figure 1).
Eighty patients developed a secondary malignancy (30.9%). The secondary malignancy of earliest onset was cutaneous malignancy in 40 patients (50.0%), solid tumor in 31 patients (38.8%), and hematologic malignancy in 9 patients (11.3%). Median time from diagnosis of CLL to secondary malignancy was 48 months (IQR 22 - 107), with 5- and 10-year cumulative incidence of secondary malignancy of 19.8% and 29.8%, respectively. Among solid tumors, cancers of the lung (8), colon (5), and prostate (4) were most common. Median time from diagnosis of CLL to solid tumor or hematologic malignancies was 48 months (IQR 24 - 91), with 5- and 10-year cumulative incidence of 10.7% and 18.4%, respectively. A total of 45 patients developed skin cancer following CLL diagnosis (20%); 17 of these patients were diagnosed with multiple cutaneous malignancies. Thirty-two patients were diagnosed with basal cell carcinoma, 27 with squamous cell carcinoma, and 5 with melanoma. Median time from diagnosis of CLL to cutaneous malignancy was 48 months (IQR 21 - 121), with 5- and 10-year cumulative incidence of 10.5% and 13.8%, respectively. Pairwise comparisons did not demonstrate statistically significant differences in median follow up of patients without secondary malignancy (9.6 years, 95% CI = 8.8-11.6), non-cutaneous secondary malignancies (10.8 years, 95% CI 9.5 -18.5), or cutaneous malignancies (11.8 years, 95% CI 10.6 -16.3).
The cumulative incidence of secondary malignancies was not different among treatment groups (p = 0.9), but the cumulative incidence of cutaneous malignancies was higher among patients treated with targeted agents (p = 0.046) (figure 2). On multivariate analysis, age was the single risk factor associated with secondary malignancies (Figure 3), whereas the risk of cutaneous malignancies was also affected by treatment with targeted agents (hazard ratio = 3.1, 95% CI = 1.37-7.07) (figure 4).
Conclusions: Secondary malignancies continue to be an important complication of CLL in the era of targeted therapies. We observed a higher cumulative incidence of cutaneous malignancies in patients treated with targeted drugs. As CLL patients treated with targeted agents experience improved survival, surveillance for secondary malignancies, in particular cutaneous cancers, remains an important health maintenance intervention.
Malek:Clegene: Other: Advisory board , Speakers Bureau; Takeda: Other: Advisory board , Speakers Bureau; Sanofi: Other: Advisory board; Medpacto: Research Funding; Cumberland: Research Funding; Bluespark: Research Funding; Amgen: Honoraria; Janssen: Other: Advisory board, Speakers Bureau. de Lima:Pfizer: Other: Personal fees, advisory board, Research Funding; Celgene: Research Funding; Kadmon: Other: Personal Fees, Advisory board; Incyte: Other: Personal Fees, advisory board; BMS: Other: Personal Fees, advisory board. Caimi:Celgene: Speakers Bureau; Bayer: Other: Advisory Board; Kite Pharma: Other: Advisory Board; ADC Therapeutics: Other: Advisory Board, Research Funding; Verastem: Other: Advisory Board; Amgen: Other: Advisory Board.
Author notes
Asterisk with author names denotes non-ASH members.

This feature is available to Subscribers Only
Sign In or Create an Account Close Modal